Qualifications
Deep math expertise, rigorous training, and a tutor’s obsession with clarity
Degree
B.S. Applied Mathematics
Computer Science Minor
Academic
4.0 GPA
Summa Cum Laude
Focus
Conceptual mastery
+ exam performance
Coursework
The foundation behind how I teach (and why I can diagnose gaps fast).
- Artificial Intelligence
- Data Structures
- Algorithms: Design & Analysis
- Database Systems
- Optimization Algorithms
- Numerical Analysis I & II
- Linear Algebra I & II
- Mathematical Statistics I & II
- Regression / Analysis of Variation
- Ordinary Differential Equations
- Partial Differential Equations
- Chaotic Dynamical Systems
- Combinatorics
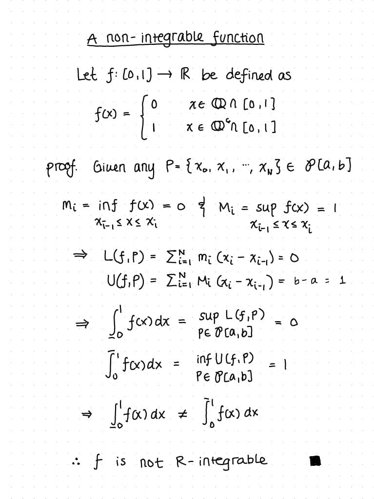
- Real Analysis

Sofiya Babenko
Bellevue, WA
Teaching style
Calm, structured, and high-standards. Students learn the “why,” then build speed and confidence through the right repetition.
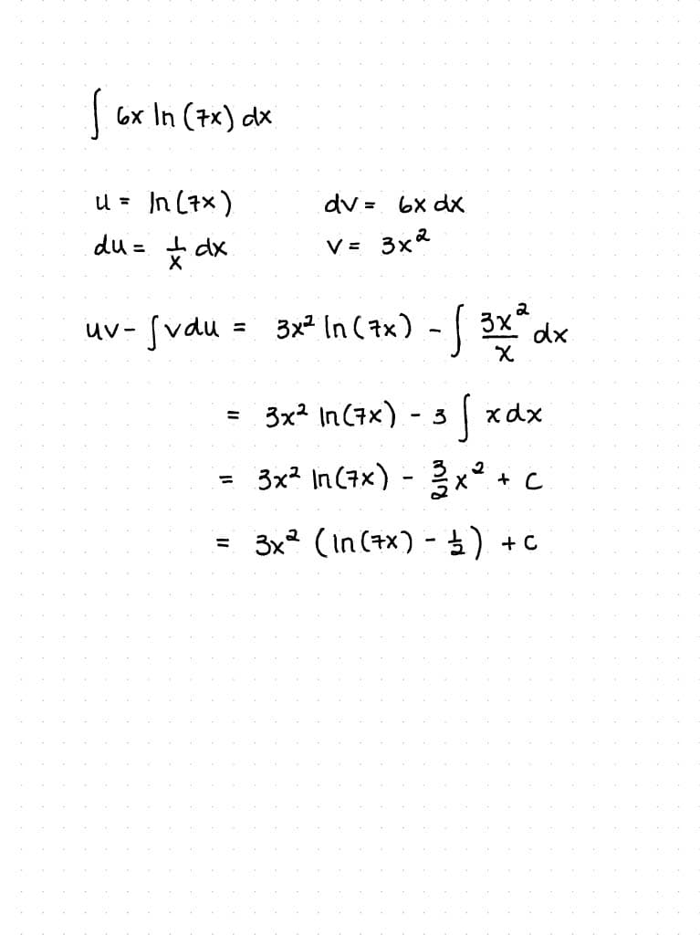
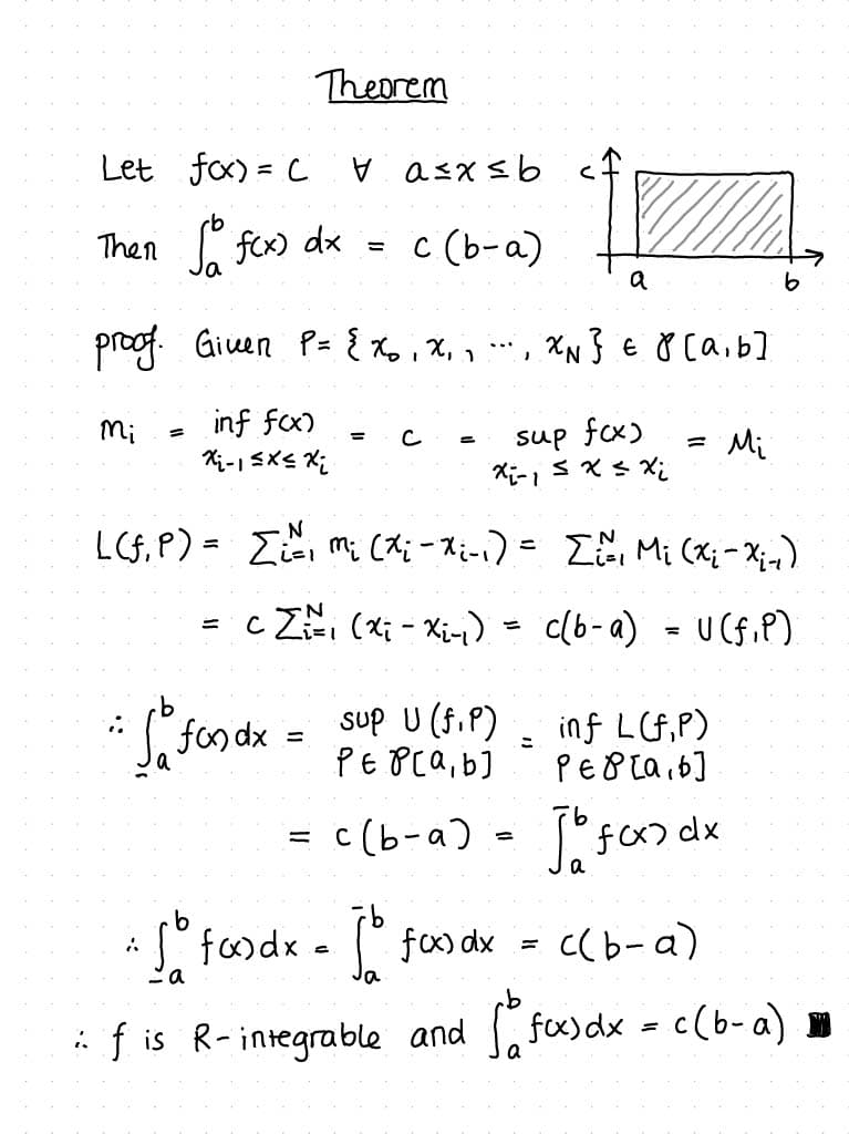
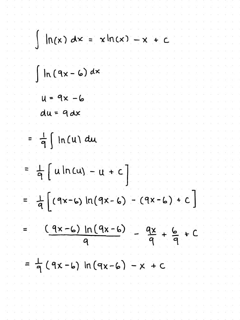
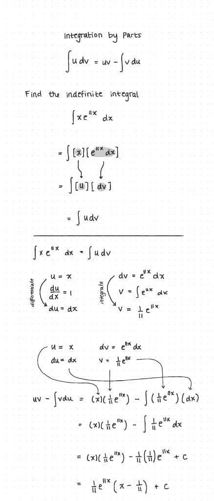
Work Samples
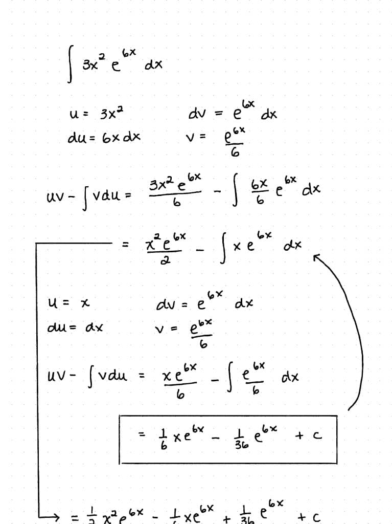
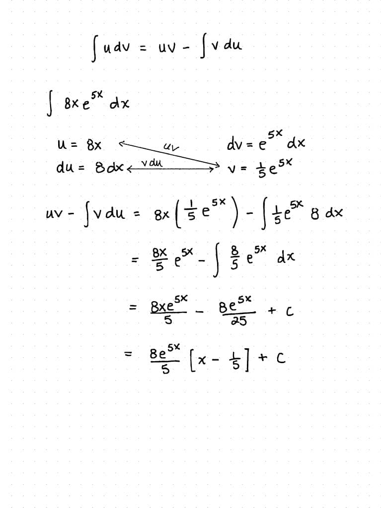
Handwritten notes & custom study guides
Explore samples of my detailed notes from advanced math courses, as well as study guides I've create to help my students excel in their exams.
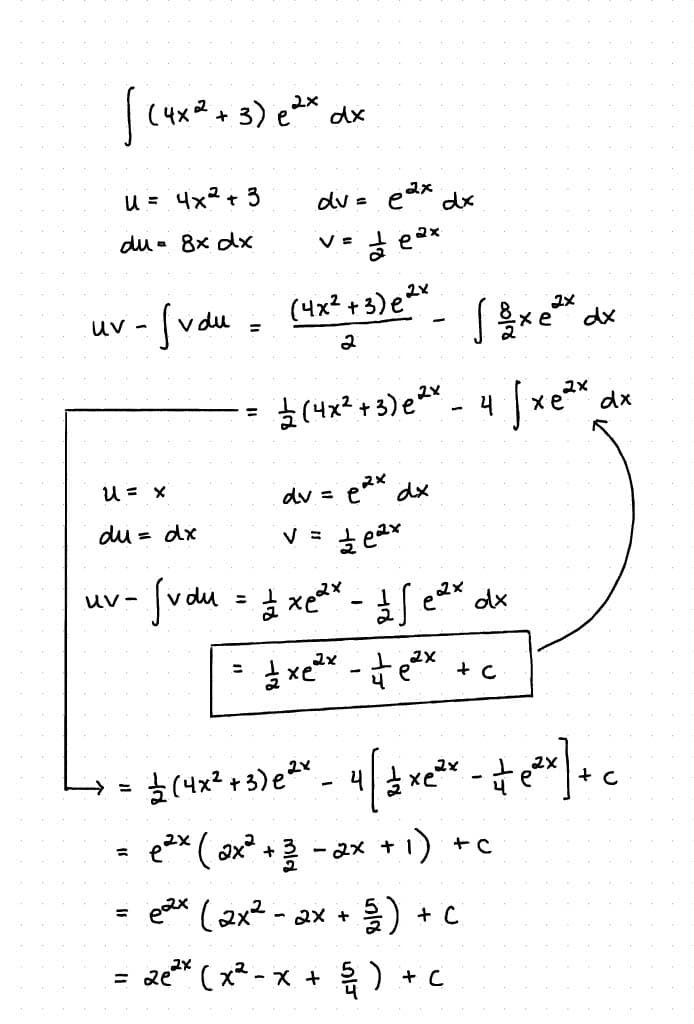
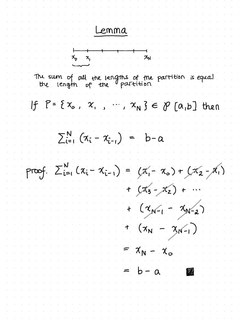
Real AnalysisMath Notes
Selected pages
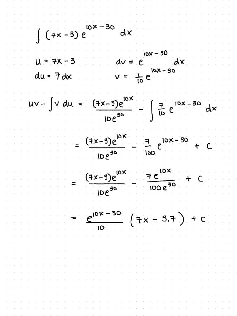
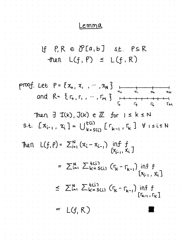
Tutoring Study Guides
Selected pages